Download Python Certification PCAP-31-03 Practice Exam

Download Python Certification PCAP-31-03 Practice Exam

The Python Certification PCAP-31-03 exam will not only help you get a better work, but it will also help you advance in your career. PCAP-31-03 Practice Exam questions and answers from FreeTestShare are the greatest way to ensure your success in only one sitting. By practicing with our PCAP-31-03 Practice Exam, you will be able to easily answer all the questions.  Our PCAP-31-03 Practice Exam include an easy-to-use layout that will help you become familiar with the exam objectives that help you pass your Certified Associate in Python Programming Exam successfully.

Take a free PCAP-31-03 practice test to help you prepare for the exam.

Page 1 of 4

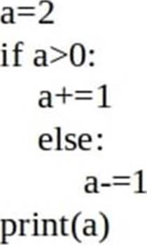
1. What is the expected behavior of the following code?



2. Assuming that the following piece of code has been executed successfully, which of the expressions evaluate to True? (Select two answers)



3. What is true about the following snippet? (Select two answers)



4. Which of the following lines of code will work flawlessly when put independently inside the inc ( ) method in order to make the snippet’s output equal to 3? (Select two answers)



5. What is the expected behavior of the following code?





It will:

6. What is the expected behavior of the following code?



7. Assuming that the following code has been executed successfully, selected the expression which evaluate to True (Select two answers)



8. The following class hierarchy is given .

What is the expected output of the code?



9. The following class hierarchy is given .

What is the expected out of the code?



10. What is true about Python class constructors? (Select two answers)


 

Share this post

Leave a Reply

Your email address will not be published. Required fields are marked *