Free Update XK0-005 CompTIA Linux+ Exam Dumps Questions

Free Update XK0-005 CompTIA Linux+ Exam Dumps Questions

CompTIA Linux+ XK0-005 exam dumps questions are newly updated for your Linux+ certification exam preparation. Studying XK0-005 exam dumps are designed to help prepare you for the CompTIA Linux+ (XK0-005) certification exam and covers all four domains of System Management, Security,Scripting, Containers, and Automation and Troubleshooting. You can study the latest update XK0-005 CompTIA Linux+ Exam Dumps Questions for your best preparation and pass your exam easily.

Page 1 of 5

1. A junior systems administrator has just generated public and private authentication keys for passwordless login.

Which of the following files will be moved to the remote servers?

2. A systems administrator is tasked with creating an Ansible playbook to automate the installation of patches on several Linux systems.

In which of the following languages should the playbook be written?

3. A Linux administrator needs to remove software from the server.

Which of the following RPM options should be used?

4. A Linux administrator modified the SSH configuration file.

Which of the following commands should be used to apply the configuration changes?

5. A Linux administrator is tasked with adding users to the system. However, the administrator wants to ensure the users’ access will be disabled once the project is over. The expiration date should be 2021-09-30.

Which of the following commands will accomplish this task?

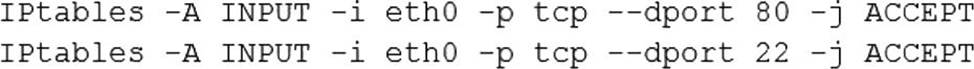
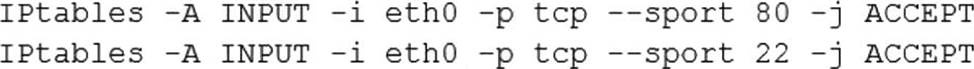
6. Some servers in an organization have been compromised. Users are unable to access to the organization’s web page and other services.

While reviewing the system log, a systems administrator notices messages from the kernel regarding firewall rules:





Which of the following commands will remediate and help resolve the issue?

A)





B)





C)





D)



7. A systems administrator created a new Docker image called test. After building the image, the administrator forgot to version the release.

Which of the following will allow the administrator to assign the v1 version to the image?

8. After listing the properties of a system account, a systems administrator wants to remove the expiration date of a user account.

Which of the following commands will accomplish this task?

9. A Linux administrator is alerted to a storage capacity issue on a server without a specific mount point or directory.

Which of the following commands would be MOST helpful for troubleshooting? (Choose two.)

10. A Linux administrator needs to create a new cloud.cpio archive containing all the files from the current directory.

Which of the following commands can help to accomplish this task?


 

Share this post

Leave a Reply

Your email address will not be published. Required fields are marked *